MEM, AR-GE'de görevlendirilebilecek personel sayısı artırıldı

MEM, AR-GE'de görevlendirilebilecek personel sayısı artırıldı

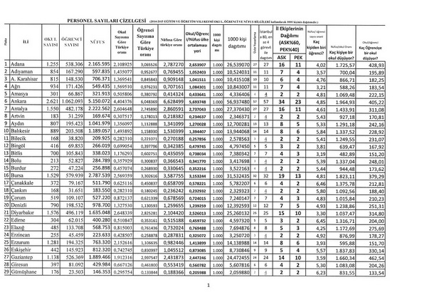
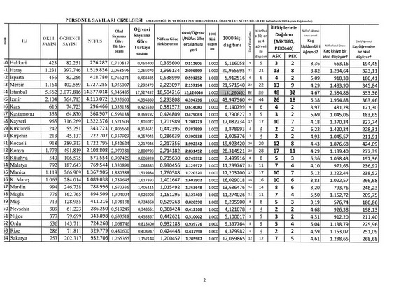
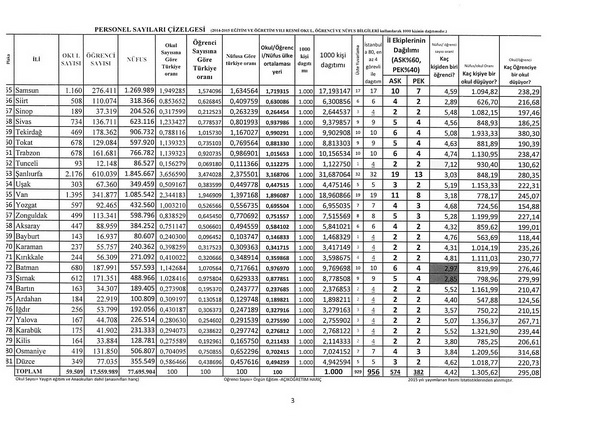
Milli Eğitim Mdürlükleri il AR-GE Biriminde Görevlendirilebilecek Personel Sayısı artırıldı.

 MEM, AR-GE'de görevlendirilebilecek personel sayısı artırıldı MEM, AR-GE'de görevlendirilebilecek personel sayısı artırıldı MEM, AR-GE'de görevlendirilebilecek personel sayısı artırıldı MEM, AR-GE'de görevlendirilebilecek personel sayısı artırıldı MEM, AR-GE'de görevlendirilebilecek personel sayısı artırıldı MEM, AR-GE'de görevlendirilebilecek personel sayısı artırıldı

HABERE YORUM KAT
UYARI: Küfür, hakaret, rencide edici cümleler veya imalar, inançlara saldırı içeren, imla kuralları ile yazılmamış,
Türkçe karakter kullanılmayan ve büyük harflerle yazılmış yorumlar onaylanmamaktadır.