
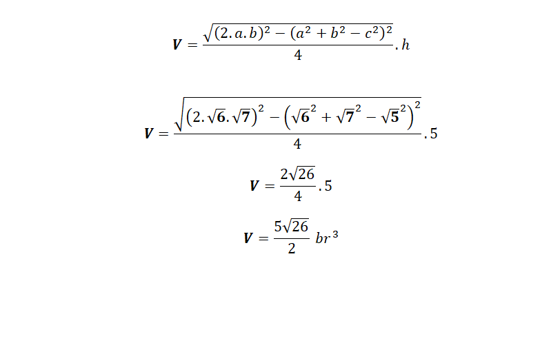
Daha önce Matematikte Deynek Dörtlüsü, Deynek Altılısı, Deynek Yedilisi, Deynek Sekizlisi, Deynek Onikilisi,13 ile bölünebilme, Deynek Ondörtlüsü, Deynek Onbeşlisi, Deynek Onyedilisi, Deynek Bağıntısı, Deynek Yarıçapı 1, Deynek Yarıçapı 2,Deynek Yüksekliği,Deynek Sinüsü,Deynek Alanı 1,Deynek Alanı 2,Deynek 18 lisi,Deynek Silindiri, Deynek Konisi,Deynek Tanjantı ve Deynek Kotanjantı formüllerini bulan,Denizli Özay Gönlüm Fen Lisesi Matematik Öğretmeni Ethem Deynek, bu kez de yüksekliği verilen üçgen dik prizmanın hacim formülü olan “Deynek Prizması” formülünü buldu.Deynek bulduğu bu yeni formülle matematikte bulduğu formül sayısını 21 den 22 ye çıkarmış oldu.Oktay Sinanoğlu “İnsanın mutlu olabilmesi için çevresine katkıda bulunması gerekir” diyor. Şimdiye dek bulduğum formül sayısı 22 oldu. Elimden geldiğince matematik dünyasına katkı yapmaya gayret ediyorum. Vatanıma ve milletime bilimsel çalışmalarımla katkı sağlayabilmek benim en büyük mutluluğum.


MEB PERSONEL
WHATSAPP HABER HATTI
MEB personeline dair en güncel,
hızlı ve özel haberler
➜ Gelişmelerden anında haberdar olun
➜ Özel haberleri ilk siz öğrenin